Crop Production
El Nino Southern Oscillation (ENSO) has a strong influence on seasonal climate variability in the Southeast. Learn about the changes in precipitation and temperature in Alabama as a result of the different ENSO phases.
El Niño-Southern Oscillation (ENSO) is an ocean- atmospheric phenomenon that affects the temperature and precipitation in Alabama in all seasons. Although ENSO predictability in the state is highest in the winter, it is highly variable in the other seasons; therefore, its predictability in spring, summer, and fall is low.
What Are El Niño and La Niña?
ENSO is the interannual fluctuation of the atmosphere- ocean system in the equatorial Pacific, and it has three phases: warm (El Niño), cold (La Niña), and Neutral. Although El Niño is considered the warm phase of ENSO and La Niña the cold phase, they are not considered opposites because they occur with differing magnitudes, spatial extent, and duration. The impacts on the United States are neither equal nor opposite. Impacts of ENSO stretch far beyond the region through interactions called teleconnections.
During an El Niño, unusually warm water appears in the eastern Pacific Ocean off the coasts of Peru and Ecuador. Because the warm current usually appears around Christmastime, the fishermen named it El Niño, Spanish for “the Christ child.” During La Niña, Spanish for “little girl,” unusually cold water is present in these locations, causing contrasting shifts in local weather patterns as well as in the global climate. Anomalous weather patterns in La Niña seasons are generally opposite from those in El Niño. These changes in the surface water temperatures are linked to changes in the strength of the trade winds blowing from east to west across the region (Figure 1). Neutral conditions occur when neither El Niño nor La Niña is present.

Figure 1. Water temperature and ocean conditions in the Pacific during El Niño (left) and La Niña (right). (Credit: NOAA)
El Niños and La Niñas occur semiregularly at intervals of 2 to 5 years and usually last from 9 to 12 months. The large pools of warm or cold water produced in these events change atmospheric pressure patterns in the tropical Pacific region and global wind patterns far from the tropics. This leads to statistically observable changes in temperature and rainfall patterns that vary by ENSO phase in many areas of the world (Figure 2).

Figure 2. Cool, warm, wet, and dry patterns across the world in winter during cold (La Niña) and warm (El Niño) episodes of ENSO. (Credit: NOAA/NCEP/CPC)
How Are El Niño and La Niña Detected and Predicted?
A number of international science agencies work cooperatively to monitor the ENSO system. They use the data they collect to calculate indexes such as the Southern Oscillation Index, Nino3.4, and the Multivariate ENSO Index (Figure 3), which characterize the strength of each ENSO episode. Statistical and dynamical computer models are used to predict how ENSO will change over time. These predictions can tell us up to several months ahead what variations in climate to expect. They allow scientists to anticipate what impacts will occur over the months that follow the onset of one of these events.

Figure 3. El Niño (red) and La Niña (blue) occurrence from 1950 to the present. (Credit: Klaus Wolter, http://www.esrl.noaa.gov/psd/enso/mei/)
Resources
AgroClimate Tools: http://www.agroclimate.org/tools/
Climate Risk Tool: http://www.agroclimate.org/tools/climate_tool/
Climate Impacts: http://www.cpc.ncep.noaa.gov/ products/precip/CWlink/ENSO/composites/
ENSO overview: http://www.cpc.ncep.noaa.gov/products/precip/CWlink/MJO/enso.shtml
General Characteristics of ENSO Phases
El Niño
- Ocean temperatures of 4 to 6 ˚F above average are commonly observed between the International Date Line and the west coast of South America.
- Warm ocean waters cause increases in tropical rain and thunderstorms.
- Atmospheric pressure increases near Indonesia and in the western Pacific and decreases in the eastern Pacific. Pressure changes lead to the subtropical jet stream moving into Florida, southern Georgia, and Alabama, steering cloudy, rain-bearing systems into the region in winter.
- El Niño lasts for no more than 1 year.
- The likelihood of tornadoes and severe weather increases in the Florida peninsula.
La Niña
- Ocean temperatures of 4 to 6 ˚F below average are observed in the eastern Pacific.
- Cold water in the eastern Pacific shifts the location of thunderstorms, rising air, and lower pressure to the western Pacific.
- Pressure shifts cause the subtropical jet stream in the
- S. to shift north, moving the storm track to northern Georgia and Alabama and leaving Florida sunnier and drier than usual.
- La Niña can last for 1 to 3 years.
- The likelihood of tornadoes and severe weather increases in Alabama and Georgia.
A) Precipitation Variability
El Niño
- Winters are wetter than normal in the central and southern parts of the state but drier in the northern part (Figure 4a). During winter, El Niño is the wettest of all phases in the central and southern parts, whereas La Niña is the wettest in the northern part.
- Springs are slightly wetter than normal in the northern and central parts but drier in the southern part (Figure 4b). The Neutral phase is wetter than El Niño in all locations, with the wetness increasing toward south.
- Summers are drier than normal except in the central part where they are slightly wetter (Figure 4c).
- Falls are wetter than normal in all locations. El Niño is the wettest of all phases in all locations (Figure 4d).

Figure 4. Precipitation (P) anomalies from the long-term averages for three ENSO phases and three regions in Alabama during: (a) winter (Dec-Feb),
(b) spring (Mar-May), (c) summer (Jun-Aug), and (d) fall (Sep-Nov)
La Niña
- Winters are drier in the central and southern parts but wetter in the northern part.
- Springs are slightly drier than normal in all locations. The dryness increases toward south.
- Summers are generally wetter than normal except in the southern part where they are slightly drier. La Niña is wetter than Neutral in the northern and central parts. Neutral is wetter than La Niña in the southern part.
- Falls are slightly drier than normal in the northern part but slightly wetter in the other parts of the state. Of all phases, La Niña is the driest in the northern part, whereas Neutral is driest in the southern part. In neutral years, the dryness increases toward south.
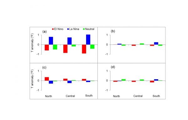
B) Temperature Variability
El Niño
- Winters are cooler than normal throughout Alabama, with the coolness increasing toward south (Figure 5a). As El Niño, Neutral phase is cooler than normal, but the latter is warmer than the former in all parts.
- Springs are slightly cooler in southern and central parts but are normal in the northern part (Figure 5b). Of all phases, El Niño is the coolest in the southern and central parts, whereas Neutral is coolest in the north.
- Summers are hotter than normal in all parts of the state (Figure 5c), and El Niño is the hottest phase.
- Falls are slightly cooler than normal in all locations, and El Niño is the coolest of all phases in all locations (Figure 5d).

Figure 5. Temperature (T) anomalies from the long-term averages for three ENSO phases and three regions in Alabama during: (a) winter (Dec-Feb),
(b) spring (Mar-May), (c) summer (Jun-Aug), and (d) fall (Sep-Nov)
La Niña
- Winters are warmer in all locations of the state; however, temperatures are warmer in the south than in the north.
- Springs are slightly warmer in northern and southern parts but about the same as normal in the central part. Of all phases, La Niña is the hottest in the north and south, whereas Neutral is hottest in the central part.
- Summers are cooler in all parts of the state, and La Niña is the coolest of all phases.
- Falls are slightly warmer in the southern part but not different from normal in the northern and central parts. Of all phases, La Niña is the warmest in the southern part, and Neutral is warmest in the northern and central parts.
Prem Woli, Research Fellow, Crop, Soil, and Environmental Sciences, Auburn University; Brenda Ortiz, Assistant Professor and Extension Specialist, Crop, Soil, and Environmental Sciences, Auburn University; Pam Knox, Agricultural Climatologist, Crop and Soil Sciences, University of Georgia; and Melissa Griffin, Assistant State Climatologist, COAPS, Florida State University.
Reviewed October 2021, El Niño-Southern Oscillation and Its Impact on Alabama’s Climate, ANR-2091